bitcoin mixing wallet

Bitcoin, the Internet currency beloved by computer scientists, libertarians, and criminals, is no longer invulnerable.As recently as 3 years ago, it seemed that anyone could buy or sell anything with Bitcoin and never be tracked, let alone busted if they broke the law.“It’s totally anonymous,” was how one commenter put it in Bitcoin's forums in June 2013.“The FBI does not have a prayer of a chance of finding out who is who.” The Federal Bureau of Investigation (FBI) and other law enforcement begged to differ.Ross Ulbricht, the 31-year-old American who created Silk Road, a Bitcoin market facilitating the sale of $1 billion in illegal drugs, was sentenced to life in prison in February 2015.In March, the assets of 28-year-old Czech national Tomáš Jiříkovský were seized; he’s suspected of laundering $40 million in stolen Bitcoins.Two more fell in September 2015: 33-year-old American Trendon Shavers pleaded guilty to running a $150 million Ponzi scheme—the first Bitcoin securities fraud case—and 30-year-old Frenchman Mark Karpelès was arrested and charged with fraud and embezzlement of $390 million from the now shuttered Bitcoin currency exchange Mt.

The majority of Bitcoin users are law-abiding people motivated by privacy concerns or just curiosity.But Bitcoin’s anonymity is also a powerful tool for financing crime: The virtual money can keep shady transactions secret.The paradox of cryptocurrency is that its associated data create a forensic trail that can suddenly make your entire financial history public information.Read more of our special package that examines the hurdles and advances in the field of forensics Academic researchers helped create the encryption and software systems that make Bitcoin possible; many are now helping law enforcement nab criminals.These experts operate in a new field at the crossroads of computer science, economics, and forensics, says Sarah Meiklejohn, a computer scientist at University College London who co-chaired an annual workshop on financial cryptography in Barbados last month.“There aren’t that many of us,” she notes.“We all know each other.” When Bitcoin first emerged, law enforcement officers were “panicking,” Meiklejohn says.

“They thought these technologies were dangerous and made it harder for them to do their job.” But as the arrests and convictions have rolled in, “there’s a steady shift toward seeing cryptocurrency as a tool for prosecuting crimes.” Even in the strange new world of Bitcoin, FBI Assistant General Counsel Brett Nigh said in September 2015, “investigators can follow the money.” Unlike money issued by governments, Bitcoin has no Federal Reserve, no gold backing, no banks, no physical notes.Created in a 2008 academic paper by a still unknown person using the name Satoshi Nakamoto, Bitcoin “is an intellectual artifact,” says Patrick McDaniel, a computer scientist at Pennsylvania State University (Penn State), University Park.“It’s the frontier of economics.” Strictly speaking, Bitcoins are nothing more than amounts associated with addresses, unique strings of letters and numbers.For example, “1Ez69SnzzmePmZX3WpEzMKTrcBF2gpNQ55” represents nearly 30,000 Bitcoins seized during the Silk Road bust—worth about $20 million at the time—that were auctioned off by the U.S.

government on 1 July 2014.Those Bitcoins have been split up and changed hands numerous times since then, and all of these transactions are public knowledge.The past and present ownership of every Bitcoin—in fact every 10-millionth of a Bitcoin—is dutifully recorded in the “blockchain,” an ever-growing public ledger shared across the Internet.What remains hidden are the true identities of the Bitcoin owners: Instead of submitting their names, users create a code that serves as their digital signature in the blockchain.
bitcoin maximalistThe job of keeping the system running and preventing cheating is left to a volunteer workforce known as Bitcoin miners.
bitcoin louhijaThey crunch the numbers needed to verify every transaction.
matthew lynn bitcoin

Added to this is an evergrowing math task known as “proof of work,” which keeps the miners honest.The calculations are so intense that miners use specialized computers that run hot enough to keep homes or even office buildings warm through the winter.The incentive for all this effort is built into Bitcoin itself.The act of verifying a 10-minute block of transactions generates 25 new Bitcoins for the miner.This is how Bitcoins are minted.Just like any currency, Bitcoin’s real-world value emerges as people trade it for goods, services, and other currencies.If you’re not a miner, you can only get Bitcoins from someone who already has them.Companies have sprung up that sell Bitcoins—at a profitable rate—and provide ATM machines where you can convert them into cash.And of course, you can sell something in return for Bitcoins.As soon as both parties have digitally signed the transaction and it is recorded in the blockchain, the Bitcoins are yours.As Science went to press, Bitcoin’s market capitalization, a measure of the amount of money invested in it, stood at $5.6 billion.

That money is very safe from theft, as long as users never reveal their private keys, the long—and ideally, randomly generated—numbers used to generate a digital signature.But as soon as a Bitcoin is spent, the forensic trail begins.By 2013, millions of dollars’ worth of Bitcoins were being swapped for illegal drugs and stolen identity data on Silk Road.Like a black market version of Amazon, it provided a sophisticated platform for buyers and sellers, including Bitcoin escrow accounts, a buyer feedback forum, and even a vendor reputation system.The merchandise was sent mostly through the normal postal system—the buyer sent the seller the mailing address as an encrypted message—and the site even provided helpful tips, such as how to vacuum-pack drugs.Investigators quietly collected every shred of data from Silk Road—from the images and text describing drug products to the Bitcoin transactions that appear in the blockchain when the deals close.Ultimately, investigators needed to tie this string of evidence to one crucial, missing piece of data: the Internet Protocol (IP) addresses of the computers used by buyers or sellers.

The challenge is that the Bitcoin network is designed to blur the correspondence between transactions and IP addresses.All Bitcoin users are connected in a peer-to-peer network over the Internet.Data flow between their computers like gossip in a crowd, spreading quickly and redundantly until everyone has the information—with no one but the originator knowing who spoke first.This system worked so well that it was carelessness, not any privacy flaws in Bitcoin, that led to the breakthrough in the investigation of Silk Road.When Ulbricht, the ringleader, was hiring help to expand his operation, he used the same pseudonym he had adopted years before to post announcements on illegal drug discussion forums; that and other moments of sloppiness made him a suspect.Once FBI tracked his IP address to a San Francisco, in California, Internet cafe, they caught him in the act of logging into Silk Road as an administrator.Other criminals could take solace in the fact that it was a slip-up; as long as you used Bitcoin carefully, your identity was protected behind the cryptographic wall.

But now even that confidence is eroded.Among the first researchers to find a crack in the wall were the husband-and-wife team of Philip and Diana Koshy.In 2014, as graduate students in McDaniel’s lab at Penn State, they built their own version of the software that buyers and sellers use to take part in the Bitcoin network.It was especially designed to be inefficient, downloading a copy of every single packet of data transmitted by every computer in the Bitcoin network.“We wanted to see everything,” Philip Koshy says.If the data flowing through the network were perfectly coordinated, with everyone’s computer sending and receiving data as frequently as the rest, then it might be impossible to link Bitcoin addresses with IP addresses.But there is no top-down coordination of the Bitcoin network, and its flow is far from perfect.The Koshys noticed that sometimes a computer sent out information about only one transaction, meaning that the person at that IP address was the owner of that Bitcoin address.

And sometimes a surge of transactions came from a single IP address—probably when the user was upgrading his or her Bitcoin client software.Those transactions held the key to a whole backlog of their Bitcoin addresses.Like unraveling a ball of string, once the Koshys isolated some of the addresses, others followed.Ultimately, they were able to map IP addresses to more than 1000 Bitcoin addresses; they published their findings in the proceedings of an obscure cryptography conference.It is unusual for an academic paper to cause both The New York Times and the U.S.Department of Homeland Security to come calling.“It was crazy,” Philip Koshy says.Their technique has not yet appeared in the official record of a criminal case, but the Koshys say they have observed so-called fake nodes on the Bitcoin network associated with IP addresses in government data centers in Virginia, suggesting that investigators there are hoovering up the data packets for surveillance purposes too.(The pair has since left academia for tech industry jobs.)

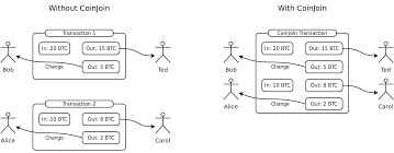
As criminals have evolved more sophisticated methods to use Bitcoin, researchers have followed apace.Meiklejohn—who says she regularly works with law enforcement but is “not comfortable discussing the details”—was one of the first researchers to explore Bitcoin “mixing” services.The basic idea is to protect the anonymity of transactions by swapping many people’s Bitcoin stashes with each other, as in a shell game.The forensic trail shows the money going in but then goes cold because it is impossible to know which Bitcoins belong to whom on the other end.“So in principle, this is a solution to Bitcoin’s anonymity problem,” Meiklejohn says.But even mixing has weaknesses that forensic investigators can exploit.Soon after Silk Road shut down, someone with administrative access to one of the newly emerging black markets walked away with 90,000 Bitcoins from user escrow accounts.The thief tried to use a mixing service to launder the money, but wasn’t patient enough to hide the tracks, Meiklejohn says.

“It’s difficult to push large amounts of Bitcoin through mixing services secretly.It’s extremely noticeable no matter how you do it.” Thomas Jiikovský, the man under investigation by Czech police, is suspected to be the thief in question.The beauty of Bitcoin, from a detective’s point of view, is that the blockchain records all.“If you catch a dealer with drugs and cash on the street, you’ve caught them committing one crime,” Meiklejohn says.“But if you catch people using something like Silk Road, you’ve uncovered their whole criminal history,” she says.“It’s like discovering their books.” Exactly that scenario is playing out now.On 20 January of this year, 10 men were arrested in the Netherlands as part of an international raid on online illegal drug markets.The men were caught converting their Bitcoins into Euros in bank accounts using commercial Bitcoin services, and then withdrawing millions in cash from ATM machines.The trail of Bitcoin addresses allegedly links all that money to online illegal drug sales tracked by FBI and Interpol.

If Bitcoin's privacy shortcomings drive users away, the currency will quickly lose its value.But the demand for financial privacy won’t disappear, and new systems are already emerging.“I don’t feel people have the right to know, unless disclosed, how much cash is in my wallet, just like I don’t feel anyone should know what conversations I’m having with anyone else,” says Ryno Matthee, a software developer based in Somerset, South Africa.Matthee is part of a team launching a new anonymous online market called Shadow this year, which will use its own cryptocurrency, ShadowCash.The goal is not to facilitate illegal transactions, Matthee says.It will be up to the users, who administer the system, to police it, he says, but to help prevent abuse, “we are going to try our best to filter out known keywords for drugs or worse.” Shadow is far from the only Bitcoin competitor.Scores of alternative cryptocurrencies now exist.And some experts predict that one may finally go mainstream.